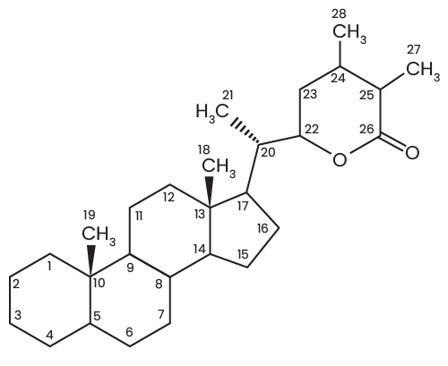
Chemistry of Withania somnifera shows that it is rich in various phytochemicals like withanolides, alkaloids, flavonoids, and tannins. Withanolides are the steroidal lactones present in Withania sominifera with 28-carbons of triterpenoid backbone.
The general structure of Withanolides is represented below.
